Danilovtseva E., Aseyev V., Karesoja M., Annenkov V. 2009. Sorption of Silicic Acid from Non-Saturated Aqueous Solution by a Complex of Zinc Ions with Poly(vinylamine). (Сорбция кремниевой кислоты из ненасыщенного водного раствора комплексом ионов цинка с поливиниламином) Eur. Polym. J. 45:1391-1396. DOI:10.1016/j.eurpolymj.2009.01.002 (IF= 2.562)

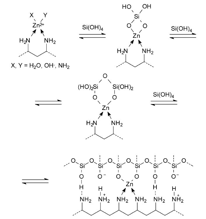
Силифицирующие организмы (диатомовые водоросли, губки и т.д.) выстраивают различные кремнистые и композитные наноструктуры, которые привлекают к себе восторженное внимание специалистов по нанотехнологии. Эти организмы способны захватывать мономерную кремниевую кислоту из разбавленных растворов (<1 мМ), а молекулярный механизм этого процесса остаётся всё ещё неизвестным. Некоторые гипотезы включают в себя посредническую роль ионов цинка, координированных с особым белковым транспортёром. Мы изучили несколько основных гидрогелей и их комплексы с двузарядными ионами металлов в сорбции кремниевой кислоты из ненасыщенных растворов. Сшитый поливиниламин, координированный с Zn2+, мог захватывать кремниевую кислоту из растворов с концентрацией от 0.1 до 1.7 мМ. Другие ионы (Cu2+, Fe2+, Ni2+, Co2+, Cd2+ and Mn2+) и менее основный поли(1-винилимидазол) не были активны в сорбции. Предложен механизм, включающий в себя олигомеризацию кремниевой килоты и образование тройного комплекса поливиниламин-Zn2+-олигосилоксан. ИК-, ЯМР и EDS данные подтверждают это заключения. Обнаруженный захват кремниевой кислоты из разбавленных растворов комплексом полиамин-цинк показывает принципиальную возможность трансмембранного транспорта Si(OH)4 с участием цинка в силифицирующих организмах. С другой стороны, способность ионов цинка, иммобилизованных на полиамине захватывать олигосиликаты могла бы быть использована в управляемой сборке нанокомпозитных структур при помощи подходов "снизу вверх".

Рис. 1. Кинетическая кривая сорбции кремниевой кислоты комплексом PVA-Zn2+. Исходная концентрация [Si(OH)4] = 1,27 мМ, Si(OH)4:Zn:PVA = 5,2:1:116.

Рис. 5. Данные EDS по распределению цинка (A) и кремния (B) по поверхности геля PVA-Zn2+, полученные через 48 ч после экспозиции геля в растворе кремниевой кислоты. Масштаб 5 и 1 (увеличение) µм.

Рис. 6. 29Si ЯМР спектр геля после сорбции кремниевой кислоты (исходная концентрация [Si(OH)4] = 1,65 мМ, Si(OH)4:Zn:PVA = 35,6:1:116), время сорбции - 18 ч.

Рис. 7. Схема взаимодействия кремниевой кислоты с комплексом PVA-Zn2+.